Проверочная работа №32. Генетическая связь между классами неорганических веществ - Ответы Тетрадь для оценки качества знаний Купцова Габриелян
1А. Кислота образуется при взаимодействии с водой:
3) оксида серы (VI).
2А. Щелочь образуется при взаимодействии с водой:
2) оксида кальция.
3А. В схеме превращений
буквами "X" и "Y" обозначены вещества:

4А. Превращение
можно осуществить с помощью:
2) магния.
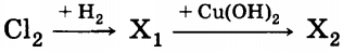
5А. В цепочке превращений соединений хлора
веществом Х2 является:
3) хлорид меди (II).
6А. Превращение, для осуществления которого необходимо нагревание исходных веществ:
2) гидроксид меди (II) → оксид меди (II).
7В. Нельзя осуществить в одну стадию превращения:

8В. Установите соответствие между схемой превращения и реагентом, необходимым для его осуществления.
9В. Установите соответствие между схемой превращений и типами последовательно протекающих реакций.
10С. Впишите формулу вещества, которое пропущено в схеме превращения:
11С. Даны три вещества: соляная кислота, нитрат серебра, карбонат натрия. Составьте три молекулярных и соответствующих им ионных уравнения реакций, которые возможны между этими веществами.
3) оксида серы (VI).
2А. Щелочь образуется при взаимодействии с водой:
2) оксида кальция.
3А. В схеме превращений
4А. Превращение
2) магния.
5А. В цепочке превращений соединений хлора
3) хлорид меди (II).
6А. Превращение, для осуществления которого необходимо нагревание исходных веществ:
2) гидроксид меди (II) → оксид меди (II).
7В. Нельзя осуществить в одну стадию превращения:

8В. Установите соответствие между схемой превращения и реагентом, необходимым для его осуществления.

9В. Установите соответствие между схемой превращений и типами последовательно протекающих реакций.

10С. Впишите формулу вещества, которое пропущено в схеме превращения:

11С. Даны три вещества: соляная кислота, нитрат серебра, карбонат натрия. Составьте три молекулярных и соответствующих им ионных уравнения реакций, которые возможны между этими веществами.

