Проверочная работа №13. Молярный объем - Ответы Тетрадь для оценки качества знаний Купцова Габриелян
1А. Верны ли следующие суждения о молярном объеме?
А. Молярный объем газообразных веществ при нормальных условиях - постоянная величина.
Б. Молярный объем 1 моль газа при н.у. равен 2,24 л.
1) верно только А.
2А. В 22,4 л кислорода при н.у. содержится:
2) 6•1023 молекул.
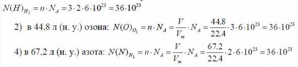
3А. 2 моль озона при н.у. занимают объем:
3) 44,8 л.
4А. 24•1023 молекул хлора при н.у. займут объем, равный:

4) 89, 6 л.
5А. Количество вещества, составляющее 2,24 л (н.у.) озона, соответствует:

2) 0,1 моль.
6А. Объем (н.у.) 56 г азота равен:

2) 44,8 л.
7А. Масса 5,6 л (н.у.) кислорода равен:

1) 8 г.
8В. При нормальных условиях одинаковый молярный объем имеют:
1) углекислый газ и азот;
2) водород и кислород.
9В. Число атомов в 3 моль водорода такое же, как:
10В. Установите соответствие между результатом сравнения количественной характеристики порции вещества и порциями веществ (н.у.).
11С. Используя материал, представленный в диаграмме, вычислите объем кислорода (н.у.), содержащегося в 21,7 м3 воздуха, плотность которого 1,29 кг/м3.
12С. Сравните количество вещества и разделите на три равные группы:
А. Молярный объем газообразных веществ при нормальных условиях - постоянная величина.
Б. Молярный объем 1 моль газа при н.у. равен 2,24 л.
1) верно только А.
2А. В 22,4 л кислорода при н.у. содержится:
2) 6•1023 молекул.
3А. 2 моль озона при н.у. занимают объем:
3) 44,8 л.
4А. 24•1023 молекул хлора при н.у. займут объем, равный:

4) 89, 6 л.
5А. Количество вещества, составляющее 2,24 л (н.у.) озона, соответствует:

2) 0,1 моль.
6А. Объем (н.у.) 56 г азота равен:

2) 44,8 л.
7А. Масса 5,6 л (н.у.) кислорода равен:

1) 8 г.
8В. При нормальных условиях одинаковый молярный объем имеют:
1) углекислый газ и азот;
2) водород и кислород.
9В. Число атомов в 3 моль водорода такое же, как:

10В. Установите соответствие между результатом сравнения количественной характеристики порции вещества и порциями веществ (н.у.).

11С. Используя материал, представленный в диаграмме, вычислите объем кислорода (н.у.), содержащегося в 21,7 м3 воздуха, плотность которого 1,29 кг/м3.

12С. Сравните количество вещества и разделите на три равные группы:

